Barion Pixel

Villanyszerelők Lapja

Szabványok

MSZ HD 60364-5-54:2007 földelőberendezések, védővezetők és védő egyenpotenciálra hozó vezetők

Navigálás a változó előírások tengerében XI.

2013/6. lapszám | Rátai Attila |  23 770 |

Figylem! Ez a cikk 13 éve frissült utoljára. A benne szereplő információk mára aktualitásukat veszíthették, valamint a tartalom helyenként hiányos lehet (képek, táblázatok stb.).

MSZ HD 60364-5-54:2007 földelőberendezések, védővezetők és védő egyenpotenciálra hozó vezetők

Az elektromos energia számtalan formában van jelen az életünkben. Egyre modernebb technológiákat alkalmazva az emberiség is előállítja és felhasználja. A modern civilizációnk elképzelhetetlen lenne nélküle, azonban a természet is képes erre a „mutatványra”. Sőt! Kiszámíthatatlan, elképesztő, emberi ésszel szinte felfoghatatlan energiával rendelkező, az emberiséget a mai napig is csodálattal és félelemmel eltöltő jelenségről lesz szó: a villámlásról, a villámcsapásról.

Pár alapelv

Védővezető megjelölése zöld/sárga színkombináció, ez a kombináció más célra nem használható. PEN-vezető színjelölése zöld/ sárga a vezetők teljes hosszában és a csatlakozókapcsoknál kiegészítő világoskék jelöléssel, vagy világoskék színnel a vezető teljes hosszában és a csatlakozókapcsoknál zöld/ sárga jelöléssel. A többi vezetőt színekkel vagy számokkal kell azonosítani. A szabvány alkalmazási területe: földelőberendezésekkel, védővezetőkkel és védő egyenpotenciálra hozó vezetők, amelyeket a villamos berendezések biztonságának biztosítása céljából létesítettek.

Test: villamos szerkezetnek olyan megérinthető része, amely normál üzemi körülmények között nincs feszültség alatt (nem aktív), de hiba esetén feszültség alá kerülhet – pontosabban aktívvá válhat. (Tehát az EPH-ba bekötendő fürdőkád stb. ebben az értelemben nem test, de nem test például egy kettős/megerősített szigetelésvédelmi móddal ellátott készülék fémháza sem.)

Fő földelőkapocs/fő földelősín: olyan kapocs vagy sín, amely több vezető villamos csatlakoztatását teszi lehetővé földelési célból. Az MSZ 447:2009 is használja már ezt a kifejezést. Nem keverendő össze az EPH-csomóponttal. Fő földelőkapocsból általában egy van, míg EPH-csomópontból több. A főelosztónál nem EPH-csomópontot létesítünk, hanem fő földelőkapcsot. Ezen aztán több védővezető csatlakoztatását végezhetjük el, például a potenciálrögzítő földelést, az EPH-csomópont(ok) gerincvezetőit, a túláramvédelem védővezetőjét, a villámhárító-berendezés bekötését stb. Többször elkövetik azt a hibát, hogy a fő földelőkapcsot a plombált térbe teszik, így megnehezítve a kötések ellenőrzését és karbantartását, és esetlegesen később szükségessé váló kötés megvalósítását.

Földelő: a földdel villamos érintkezésben lévő vezetőképes rész.

Védővezető: biztonság céljából alkalmazott vezető. Ilyen például a nullázás PE-vezetője, az EPH- vezető, vagy a földelésre csatlakozó földelővezetők.

Védő egyenpotenciálra hozó vezető: védő egyenpotenciálú összekötés céljára használt védővezető, „régiesen” EPH-ve-zető.

Földelővezető: a villamos berendezést (rendszert) köti össze villamosan a földelővel. Ez a csatlakozási pont általában a fő földelőkapocs (vagy sín).

Idegen vezetőképes rész: olyan villamosan vezetőképes rész, amely nem a villamos berendezés része, de képes villamos potenciált odavezetni.

Alapozásföldelő: az épület alatt lévő talajba temetett, de általában inkább az épület betonalapjába ágyazott – általában zárt hurkot képező – vezetőképes rész.

Földelőberendezések

Általános követelmények

Üzemi és védelmi célra lehet használni ugyanazt a földelőberendezést, vagyis üzemi és hibaáram vezetésére is alkalmazható. A védelmi célokat természetesen előnyben kell részesíteni. A földelőt a földelővezetővel a fő földelőkapocshoz (amenynyiben van) kell csatlakoztatni. Ha a villamos berendezés nagyfeszültségű, akkor a nagyfeszültségű tápforrás és a föld között zárlat ellen védelmet kell alkalmazni. A földelőberendezés földcsatlakozására a következő követelmények vannak:

  • megbízhatóság,
  • adott villamos berendezés védelmi követelményeinek való megfelelés,
  • a földzárlati és védővezető áramokat úgy tudja levezetni, hogy ezen áramok által keltett melegedési, termomechanikus és elektromechanikus és áramütésveszélyektől mentességet biztosít,
  • megfelelő mechanikai szilárdság (vagy a mechanikai hatások ellen kellően védett),
  • elegendően korrózióálló,
  • ha szükséges, megfelel az üzemi áram vezetéséből adódó követelményeknek is.

Földelőberendezések – földelők

A földelők anyagával szemben támasztott követelmények:

  • korrózióállóság,
  • megfelelő mechanikai szilárdság.

Ezen feltételek biztosítása érdekében a szabvány táblázatban adja meg a földben használt földelők anyagát és a hozzájuk tartozó legkisebb méreteket (1. táblázat). Új épületek esetében természetesen ajánlott betonalapföldelő – alapozásföldelő – alkalmazása. A földelő korróziójának elkerülése érdekében ajánlatos a betonrétegbe minimum 5 centiméterre beágyazni. Talajviszonyoktól függetlenül egy vagy több földelőt lehet alkalmazni a megfelelő hatékonyság elérése érdekében.

FÖLDELŐVEZETŐ Legkisebb keresztmetszete [mm2] Mechanikai sérülés ellen védett* Mechanikai sérülés ellen nem védett
Réz Acél Réz Acél
Korrózió ellen védett 2,5 10 16 16
Korrózió ellen nem védett 25 50 25 50

1. táblázat *Akkor mechanikai védelem ellen védett, ha a védelem ellenáll 5 J vagy azzal egyenértékű ütőenergiának.

Alkalmazható földelők típusai: rúd vagy cső, szalag vagy huzal, lemez, föld alatti alapozásba ágyazott fémszerkezet, földben lévő beton hegesztett betonvasszerkezete (előfeszített beton nem), más helyi követelményeknek megfelelő föld alatti fémszerkezetek.

Figyelembe kell venni a talaj kiszáradásából és fagyásából adódó földelési ellenállás- érték-növekedést, nehogy olyan mértékűre növekedjen, amely gyengítené az áramütés elleni módot. Ha különböző anyagokat használunk, figyelemmel kell lenni az elektrolitikus korrózióra. Éghető folyadékot vagy gázt szállító csővezetéket tilos földelőként használni.

A föld alatti alapozásba benyúló fém szerkezeti elemeket és a földelőként használt betonvasalást össze kell kötni. A kötést hegesztéssel vagy megfelelő mechanikai csatlakozók segítségével kell megvalósítani. Földelőként vízbe merített fémtárgy nem használható.

Földelővezetők

A földelővezetőt a földelőhöz hegesztéssel, szorítócsatlakozóval, bilinccsel lehet kötni vagy más olyan mechanikai csatlakozót kell használni, amely tartós és villamos szempontból megfelelő csatlakozást biztosít. A mechanikai csatlakozókat a gyártó utasítása szerint kell felszerelni, míg a bilincs használatánál arra kell ügyelni, hogy ne károsítsa sem a földelőt, sem a földelővezetőt.

Fő földelőkapcsok vagy -sínek

Azokban a villamos berendezésekben, amelyekben védő egyenpotenciálú összekötés (ezt hívjuk EPH-nak) is van, ki kell alakítani egy földelőkapcsot vagy -sínt, amelyhez csatlakoztatni kell:

  • védő egyenpotenciálra hozó vezetőket (EPH gerincvezetőket),
  • földelővezetőket,
  • üzemi földelővezetőket, ha vannak ilyenek.

Nem fontos minden egyes védővezetőt a fő földelőkapocsig elhozni, más védővezetőn keresztül is csatlakozhatnak a fő földelőkapocshoz. A szabvány azonban előírja – és ezt sokszor figyelmen kívül hagyják a kivitelezők –, hogy a fő földelőkapcson minden egyes arra csatlakozó vezetőnek külön- bonthatónak kell lennie. Nem megengedett tehát egy csatlakozóelembe vagy alá több vezető csatlakoztatása (2. táblázat).

A fázisvezető keresztmetszete, S [mm2] A védővezető legkisebb keresztmetszete [mm2]
A védővezető anyaga megegyezik a fázisvezető anyagával A védővezető anyaga nem egyezik meg a fázisvezető anyagával
S ≤ 16 S k1/k2xS
16 ≤ S ≤ 35 16a k1/k2x16
S > 35 Sa/2 (k1/k2) x (S/2)

2. táblázat:
S: fázisvezető keresztmetszete [mm2]
k1: a k tényező fázisvezetőre vonatkozó értéke – képlettel vagy táblázattal meghatározandó
k2: a k tényező védővezetőre vonatkozó értéke – táblázattal meghatározandó
a: PEN vezetők esetében megengedett a keresztmetszet csökkentése, ha ezt a nullavezető méretezésének szabályainak betartásával összhangban végzik.

Védővezetők legkisebb keresztmetszete

TT rendszerekben a szabvány megengedi a védővezetők keresztmetszetét réz esetén 25 mm²-re, alumínium esetén 35 mm²-re választani. Ennek az a feltétele, hogy a tápforrás nullavezetője és a testek földelője egymástól független legyen.

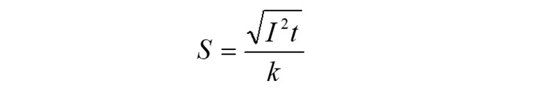
A védővezetők keresztmetszetének minimális értékének az IEC 60949-nek megfelelőnek kell lennie, vagy az alábbi képlettel lehet kiszámolni.

S: a keresztmetszet [mm²],
I: a védelmi eszközön átfolyható várható hibaáram effektív értéke [A],
t: az önműködő lekapcsolást végző eszköz kikapcsolási ideje [s],
k: a védővezető anyagától, szigeteléstől és más részektől, továbbá a kezdeti és véghőmérséklettől függő állandó (a számítás módja megtalálható a szabvány A mellékletében).

Természetesen nem kell ezt végigszámolni minden esetben, hiszen az esetek döntő többségében a védővezető keresztmetszetét a fázisvezető keresztmetszetéhez igazítjuk a <16; 16-35; >35 szabály szerint. Méretezni csak speciális esetekben kell.

Fázisvezetőtől külön vezetett védővezetők – nem a vezeték részei vagy nincsenek közös burkolatban vele – minimális keresztmetszetére vonatkozó előírás réz esetén 2,5 mm², alumínium esetén 16 mm², ha van mechanikai védelem, és réz esetén 4 mm² vagy alumínium esetén 16 mm², ha nincs mechanikai védelem.

Most nézzünk egy olyan követelményt, amelynek alkalmazását sokszor elfelejtik, pedig igencsak leegyszerűsíthetnénk vele a dolgunkat. Egy védővezető több áramkörnek lehet közös védővezetője. Ebben az esetben 1) a keresztmetszet meghatározásánál az áramkörökben előforduló legnagyobb várható zárlati áramot és kapacsolási időt kell figyelembe venni; 2) az áramkörökben előforduló legnagyobb keresztmetszetű fázisvezetőhöz kell igazítani. Egyszerűen fogalmazva, egy védővezető több kör védővezetője lehet, amennyiben a legszigorúbb követelményű körnek felel meg.

És most nézzünk pár gyakorlati területet.

Talán nem is gondoltunk rá, de ezt eddig is így tettük. Ha egy lakáselosztó PE-sínjéről ágaztattuk le a PE-vezetőket, akkor a lakáselosztó betáplálásának védővezetőjét több áramkör PE-védővezetőjeként használtuk. Persze eszünkbe sem jut méretezni, hiszen 16 mm2-ig úgyis a fázisvezető keresztmetszetével azonos keresztmetszetű.

Egy lakáson belül általában 1,5 és 2,5 mm²-es vezetőket használunk. Általában az öszszes körhöz külön elviszik a PE-vezetőket, jelentős felesleges munkát és költséget okozva saját maguknak. Ha a lakások – üzemi helyiségek – vezetékeinek elhelyezése lehetővé teszi, elég csak egy 2,5 mm²-es PE „gerincet” végighúzni, és 1,5 mm²-es vagy 2,5 mm²-es leágazásokat létesíteni, attól függően, hogy mekkora az adott áramkör keresztmetszete.

Fürdőhelyiségek helyi kiegészítő EPH létesítésénél nem kell a kádhoz a lakáselosztótól vinni az EPH-vezetőt (védő egyenpotenciálra hozó vezetőt az új megnevezés szerint), hiszen azt a PE-vezetőről is le lehet ágaztatni. Fázisvezetőtől függetlenül vitt védővezető keresztmetszete minimum 2,5 mm², tehát csak arra kell figyelni – mivel több kör esetén a szigorúbb kritériumoknak kell megfelelni –, hogy az a PE-vezető keresztmetszete, amiről az EPH-vezetőnket leágaztatjuk, minimum 2,5 mm²-es legyen.

Védővezetők villamos folytonossága

A védővezetőket védeni kell a mechanikai sérülésektől, a vegyi, elektrokémiai károsodásoktól és az elektrodinamikus és termodinamikus erőkkel szemben.

A védővezetők csatlakozásai a szemrevételezés és vizsgálat céljából legyenek hozzáférhetők. Kivételt képeznek a kiöntött csatlakozások, a tokozott csatlakozások, a fém védőcsövekben és síncsatornás rendszerekben lévő csatlakozások, és a szerkezet részét képező, a termékszabványnak megfelelő csatlakozások.

Védővezetőbe kapcsolóeszközt iktatni tilos, de a vizsgálat céljából – szerszámmal bontható – csatlakozás beiktatása megengedett. Hasonló előírás van a földelés villamos módszerrel történő ellenőrzésére is. Az eszközök nem iktathatók sorosan a védővezetőbe. Villamos szerkezetek teste nem használható fel védővezetőként, kivéve a már tárgyalt kisfeszültségű elosztó- és vezérlőberendezéseket és síncsatornás rendszereket.

PEN-vezetők

PEN-vezetőt csak rögzített villamos berendezésekben és a mechanikai szilárdság biztosítása érdekében – réz esetén minimum 10 mm2, alumínium esetén legalább 16 mm2 keresztmetszettel – lehet használni. (Ne felejtsük el, hogy egy PEN-vezetőszakadás következtében az összes védővezetővel ellátott burkolatra akár egy készülék bekapcsolása esetén 230 V kerülhet.)

PEN-vezetőt a rendszer névleges feszültségére kell szigetelni. Kábel- és vezetékrendszerek burkolatait – kevés kivételtől eltekintve, mint például az EN 61534-1-nek megfelelő síncsatornás rendszerek – tilos PEN-vezetőként használni.

Ötvezetős rendszerben a már szétválasztott PE-védővezetőt és N-nullavezetőt újra összekötni tilos. Nullavezetőt földelni tilos. A PEN-vezetőt mindig a védővezető csatlakozókapcsára vagy sínjére kell kötni, és onnan kell az csatlakozni a nulla-sínre. Ennek oka az, hogy ha az átkötés valamilyen oknál fogva megszakad, akkor semmi sem fog működni, de a védelem megmarad. Ha PEN-vezetőt a nulla-sínre kötnénk, és a nulla-sínről kötnénk a PE-sínre, az átkötés szakadása esetén minden működne, de a védelem megszűnne – ráadásul ennek semmilyen érzékelhető jele nem lenne.

Idegen vezetőképes részeket nem szabad PEN-vezetőként használni. Amennyiben áramütés elleni védelemre túláramvédelmi eszközöket használnak, a védővezetőket az aktív vezetőkkel együtt vagy közvetlen közelükben kell vezetni.

Megerősített védővezetők 10 mA-t meghaladó védővezető-áramok vezetésére

Állandó csatlakozásra tervezett fogyasztókészülékek esetében és 10 mA-t meghaladó védővezető áramok esetén megerősített védővezetőket kell alkalmazni. Az ezekre vonatkozó követelmények a következők:

minimális keresztmetszet réz esetén 10 mm², alumínium esetén 16 mm² (mellesleg a PEN-vezető teljesíti ezen követelményt), ha nincs megfelelő keresztmetszetű vezető, egy kiegészítő vezetőt kell vezetni addig a pontig, amelytől már teljesülnek a védővezető keresztmetszetére vonatkozó követelmények. A gyártmánynak ehhez külön csatlakozókapoccsal kell rendel- keznie. (TN-C rendszerekben a PEN- vezető megfelel ennek a feltételnek.)

Miről is van szó? A szabvány követelményei megtiltják, hogy védővezetőt üzemi célú áramok vezetésére használjanak fel, azonban néha ez elkerülhetetlen. Ilyen eset lehet például, amikor IT-rendszerekben alkalmaznak szigetelésellenőrző készülékeket. Ezek mérőáramai – melyek üzemi áramok – a védővezetőn folynak. Azért, hogy a szabvány ne tiltsa meg például ezen eszközök használatát, nyitották meg ezt a kiskaput „Megerősített védővezetők” résszel.

Védő egyenpotenciálra hozó vezetők

Ahogy már említettük, „régen” ezt EPH- vezetőknek hívtuk. Én ma is néha így hívom. Nem akarok sznoboskodni, mint ahogyan a „fi-relénél” sem teszek úgy, mintha nem érteném. A fő földelőkapocsra, -sínre csatlakozó EPH-vezetők minimális keresztmetszete: réz 6 mm², alumínium 16 mm2, acél 50 mm².

A szabványban látható példa védő egyenpotenciálú összekötésre egy test és acélszerkezet között (1. ábra).

EPH-vezető S keresztmetszetének meghatározása:
Cu esetén SEPH≥2,5 mm2 mechanikailag védett,
Cu esetén SEPH≥4 mm2 mechanikailag nem védett,
általánosan SEPH≥0,5SPE.

A nem kábelben vagy vezetékrendszerben lévő védővezető akkor tekinthető védettnek, ha kábelcsatornában, védőcsőben, vezetékcsatornában vagy hasonló módon van vezetve. Itt is láthatjuk, hogy fürdőhelyiségek helyi egyenpotenciálú összekötéséhez a kádhoz csatlakozó EPH-védővezetőt nem kell a lakáselosztóról leágaztatni, hanem elég egy közeli PE-vezetőről, amenynyiben az minimum 2,5 mm².

Ha két villamos testet kötünk össze EPH-vezetővel, az előírás, hogy a vezetőképessége (azonos anyagnál a keresztmetszete) nem lehet kisebb, mint a testekhez kapcsolódó védővezetők közül a kisebbé.

Földelők ellenállásának számítása

A földelő ellenállása függ:

  • a földelő alakjától, méretétől, anyagától,
  • a talaj fajlagos ellenállásától, amelybe be van ásva.

A talaj fajlagos ellenállása m-ben van kifejezve. Az 1 m² keresztmetszetű és 1 m hosszúságú henger ellenállása ohmban. A számításoknál a konkrét mérések természetesen pontosabb értékeket adnak, de figyelembe kell venni a következőket. A talaj fajlagos ellenállása változhat. A nedvességtartalom és a hőmérséklet is jelentősen változhat az évszakok alatt. A nedvességet befolyásolja a föld szemcsézettsége és porozitása. A nedvességtartalom növekedésével a fajlagos ellenállás csökken. Például olyan rétegek, amelyeken vízér folyik keresztül, nem alkalmasak földelő elhelyezésére, mivel a vízeret leszámítva nagy fajlagos ellenállású, természetes szűréssel megtisztított, köves földből állnak. Pont ezért tud bennük vízér keletkezni. Azonban ha a vízutánpótlás csökken vagy megszűnik, földelőnk egy nagy fajlagos ellenállású földdarabban találja magát, és nagyon szomorú lesz, mert nem tudja feladatát megfelelően ellátni.

Nagyon megnöveli a talaj fajlagos ellenállását a fagy, amely akár néhány k -ra is felszökkenhet. A fagyhatár az egy métert is elérheti, logikus, hogy ezen határ alatt érdemes fektetni a földelőnket. A kiszáradás is gondot jelenthet, a fajlagos ellenállás romlása nagyságrendileg megegyezik a fagyásból eredő fajlagos ellenállásnövekedéssel. A különböző talajok fajlagos ellenállásának határértékeit a szabványban található táblázatok rögzítik.

Földelők alkotóelemei

Földelők anyaga lehet tűzihorganyzott vagy rozsdamentes acél, tökéletesen tapadó rézbevonatú (elektrolitikus rézbevonatú rézköpenyű) acél, csupasz, ónbevonató, horganyzott réz. Fontos szabály, hogy a különböző fémek egymás közötti csatlakozásai nem érintkezhetnek a talajjal. Könnyűfémek alkalmazása alapesetben nincsen megengedve.

A szabvány 54.1 táblázata rögzíti a földelőkkel szemben támasztott méretek minimális követelményeit, azonban ezek a méretek nem biztos, hogy elegendők. A földelő legnagyobb ellensége a korrózió, ami azért gond, mert minél inkább nedves talajban van a földelő, annál kedvezőbb ellenállásértéket kapunk.

A földelőket éppen ezért a lehető legtávolabb kell létesíteni azoktól a helyektől, ahol a korróziót segítő anyagok átszivárgása fokozottabban előmozdíthatja a korróziót (szeméttelepek, [folyékony] trágya, vegyi anyagok, koksz stb.)

Apropó, koksz! Előfordul, hogy a szakember koksszal javítja a földelési ellenállás értékét. Azonban ezt a megoldást csak az átadás előtti mérés idejére ajánljuk, utána ugyanis pont a koksz miatt fellépő korrózió rövid időn belül úgyis tönkreteszi a földelőt.

Épületszerkezeti földelők

Az épület fémszerkezetének földbe nyúló részeinek földelőként való felhasználását jelenti. Ilyenek például a talajba leásott, a fémes épületszerkezettel összekötött fémpillérek. Az épület körül lévő összekötött pillérek ellenállása nagyságrendileg azonos a betonalap földelőjével. Természetesen a pillérek bebetonozása akkor is megengedett, ha föld alatti részüket földelőként használjuk fel. A földben lévő beton úgyis átnedvesedik, és ezáltal jó vezető lesz. (Bár láttam már a szigetelés felett, száraz betonban létesített földelőcsatlakozást is – sajnos–, viszont könnyen karbantartható volt.)

Alapozásföldelők

Ez is a leginkább ajánlatos megoldás az épületszerkezeti földelő mellett. Az alapozásföldelő készülhet acélszalagokból, acélhuzalokból, rézhuzalokból, de lehet a betonba beágyazott tűzihorganyzású vagy csupasz acélt is használni. Az alapozásföldelőhöz csatlakozó földelővezetők, ha nem az épületen belül lépnek a betonba, ajánlatos, hogy belépésük a talajszint felett legyen. (Néha a túlbuzgó személyek levágják a földelővezetőket, mert útban vannak – ez határozottan csökkenti az alapozásföldelő hatékonyságát.)

Az alapozásföldelőt ajánlatos összekötni a vasbetonszerkezettel (az előfeszített betonszerkezeteket leszámítva). Ez csökkenti a földelési ellenállást, ugyanakkor növeli az EPH hatékonyságát.

Az alapozásföldelő előnyei: nem kell további ásást végezni, megfelelő mélységben van a száradást, fagyást stb. tekintve, jó érintkezést biztosít a talajjal, nagy felület használatát teszi lehetővé a legkisebb ellenállás érdekében, már az építési munkák kezdetétől fel lehet használni.

Nagyjából ennyi az MSZ HD 60364-5-54:2007 elemezgetése. A szabványban természetesen meg lehet találni a méretezéshez szükséges táblázatokat, azonban ez általában a tervező felelőssége. Nem az a cél, hogy kívülről tudjuk – bár az sem baj –, hanem az, hogy tudjuk, mit kell áttekinteni egy adott munka végzése során.

MSZ HD 60364Szabványok

Kapcsolódó